Алматы қаласы Білім басқармасының
«№156 жалпы білім беретін мектеп»
коммуналдық мемлекеттік мекемесі
Қабылдау бөлімі :
+7(727) 298-10-68
Есепші бөлімі:
+7(727) 298-13-63
eOtinish.kz
Нашар көрушілер
нұсқасы
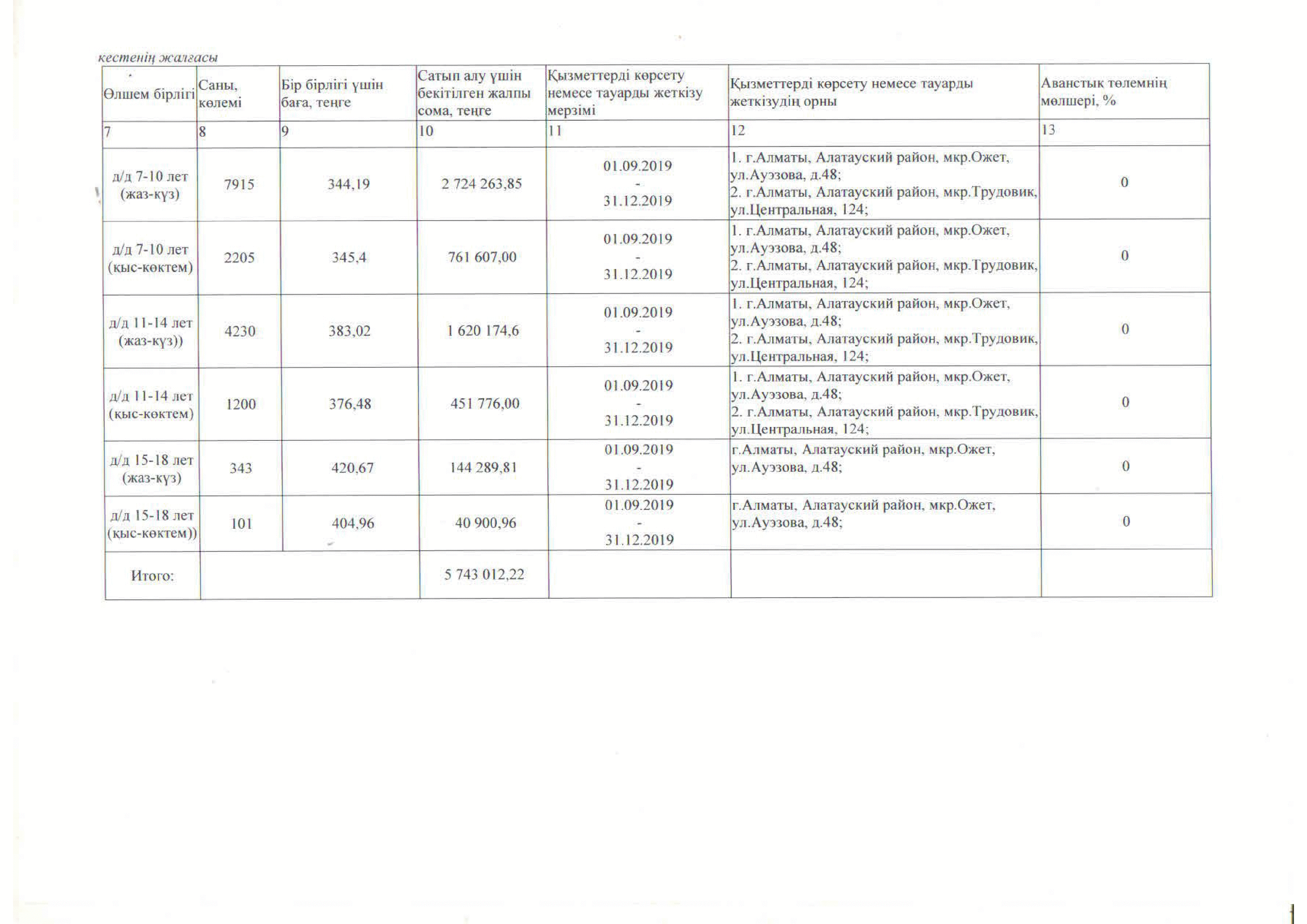
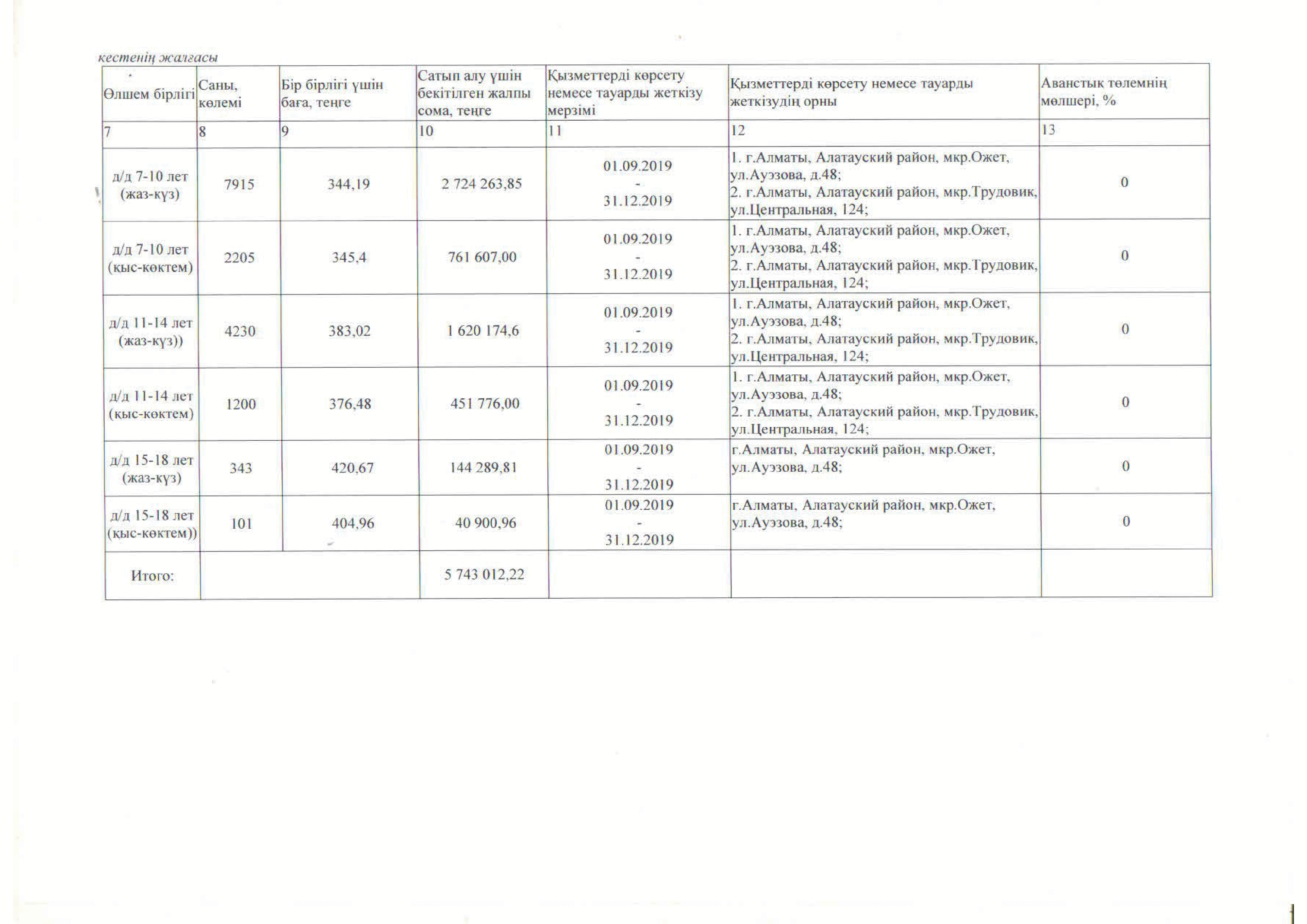
» » план приобретения услуг или товаров
05
август
2019

план приобретения услуг или товаров

Осы беттің QR-коды:
QR-код этой страницы: